Approach
Preview of Weight of Evidence and Information Value (IV)
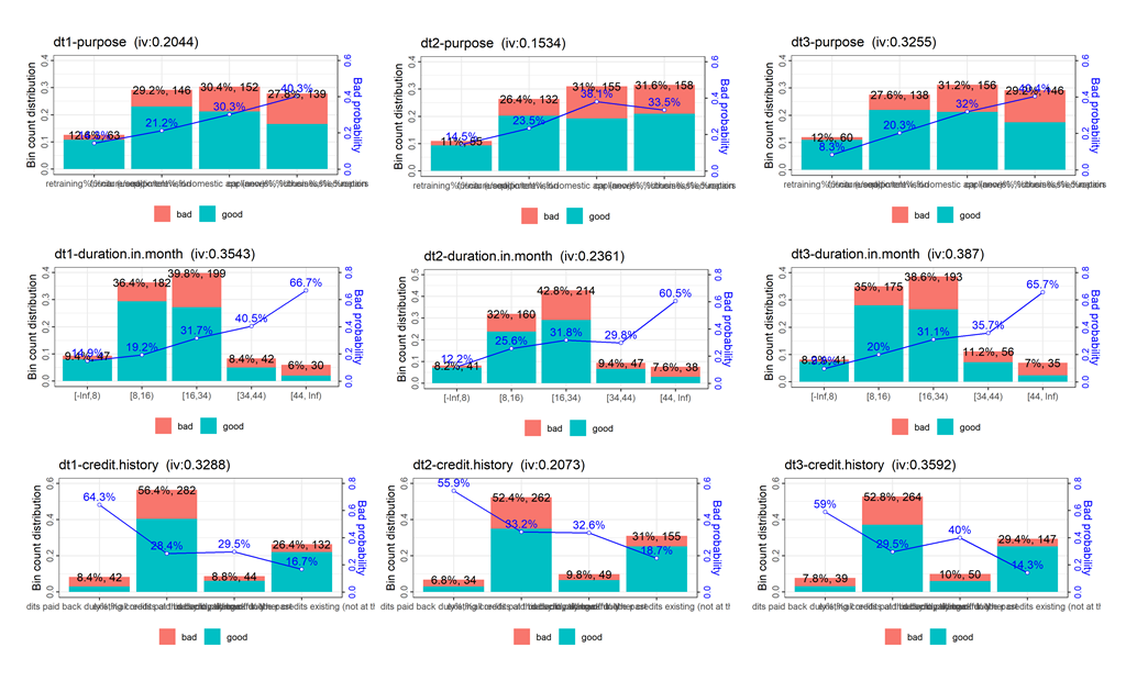
• Weight of evidence shows the predictive power of an independent variable in relation to the dependent variable. It is a measure of separation of ‘good’ and ‘bad’ (e.g. customer / candidate)
• 0.02 – 0.1 indicates Weak predictive power
• 0.1 – 0.3 indicates Medium predictive power
• 0.3- 0.5 indicates Strong predictive power

Population Stability Index (PSI)
• Comparison of distributions of training data (data used to develop the model) to a scoring variable (predicted probability)
• PSI that’s lower than 0.1 indicates that model does not need any adjustment / change. If PSI is greater than 0.1 then adjustment is required.

Category
- Forecasting, Machine Learning